Estudo matemático mostra que casos da Covid-19 no MS dobram a cada 12 dias
Somente nos primeiros 12 dias do mês de julho foram confirmados 5.232 casos da Covid-19 no estado de Mato Grosso do Sul, mantendo o cenário crescente de disseminação da doença que, no mesmo período de junho, somou 1.512 pessoas contaminadas.
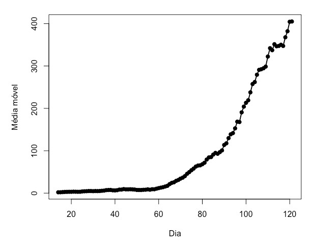
“Para que as quantidades de notificações da Covid-19 sejam consideradas estáveis é necessário que as médias móveis permaneçam estáveis por pelo menos 14 dias. Como podemos observar não há nenhum período de estabilização. Estes resultados mostram que o mês de julho está caminhando para ser o mês com a maior quantidade de casos confirmados”, dizem os professores Erlandson Saraiva (Inma) e Leandro Sauer (Esan), que nesta segunda-feira enviaram à Sesau o relatório semanal sobre a modelagem matemática para o estado e Campo Grande.
Os dados considerados na análise são referentes as quantidades totais no período de 14 de março a 12 de julho. Nesses 121 dias, foram confirmados no MS, 13.197 casos. Somente na última semana, de 6 a 12 de julho, houve 3.108 novos casos, aumento de 30.81% . O número de pacientes internados chegou a 285, em 12 de julho, e o número de mortos a 161.
A partir do dia 55 (8/5/2020), a quantidade de casos confirmados dobra, em média, a cada 12 dias. Mantido este cenário, a projeção é de mais de 23 mil casos confirmados em 21 de julho.
Leitos hospitalares
De acordo com o modelo Gompertz, no dia 184 (14/9/20) a quantidade de indivíduos diagnosticados com a Covid-19 (745 pessoas) que precisarão de atendimento em leitos clínicos superará a quantidade de leitos disponível (737 leitos clínicos).
Da mesma forma, com relação aos leitos de UTI, é estimado para o dia 161 (22/08/20) que 229 indivíduos precisem desse tipo de atendimento, quatro a mais do que os leitos existentes.
“Esses resultados mostram a necessidade de a população continuar seguindo as orientações de especialistas da área da saúde para se manter o isolamento social sempre que possível. Este procedimento é necessário para que as quantidades registradas em uma semana estejam sempre abaixo da curva estimada. Pois somente desta maneira obteremos o desejado “achatamento” da curva e evitaremos o colapso do sistema de saúde pública do MS”, afirmam os professores.
Campo Grande
O número de casos da Covid-19 em Campo Grande nos primeiros 12 dias de julho – 2.111 – superou todo o mês de junho, que fechou com 1.942 contaminados. Ao considerar as quantidades totais registradas a partir do dia 79 (1/6/20), os casos confirmados dobram, em média, a cada 11 dias.
As projeções do modelo Gompertz indicam o colapso do sistema público de saúde de Campo Grande para o dia 169 (30/8/20), quando o número de indivíduos que precisarão de atendimento em leitos clínicos será idêntico ao de disponível: 341 leitos. Já para a UTI, o colapso ocorrerá no dia 158 (19/8/20) com a superação dos 157 leitos disponíveis.
Texto: Paula Pimenta (com informações dos pesquisadores)
